欢迎来到MSDS查询网--MSDS安全网
当前位置:MSDS安全网 -> 化工字典CAS -> 联苯胺,硫酸盐化工字典CAS数据库
化学品CAS查询网站--MSDS安全网
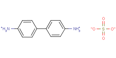
联苯胺,硫酸盐 CAS数据库
联苯胺,硫酸盐 CAS数据库
中文名称: 联苯胺,硫酸盐
中文别名: 硫酸联苯胺; 4,4'-二氨基联苯硫酸盐
英文名称: benzidine sulfate
英文别名: Benzidine sulfate; (1,1'-Biphenyl)-4,4'-diamine, sulfate (1:1); NSC 148333; ((1,1'-Biphenyl)-4,4'-diyl)diammonium sulphate; (1,1'-Biphenyl)-4,4'-diamine, sulfate (1:1) (9CI); Benzidine, sulfate (1:1) (8CI); Benzidine sulphate; [1,1'-biphenyl]-4,4'-diamine, sulfate (1:1); 244-236-4; Biphenyl-4,4'-diaminium sulfate
CAS号: 531-86-2;21136-70-9
EINECS号: 208-520-1;244-236-4
分子式: C12H12N2O4S
分子量: 280.3008
InChI: InChI=1/C12H12N2.H2O4S/c13-11-5-1-9(2-6-11)10-3-7-12(14)8-4-10;1-5(2,3)4/h1-8H,13-14H2;(H2,1,2,3,4)/p-2
分子结构: 联苯胺,硫酸盐 531-86-2;21136-70-9
沸点: 358.7°C at 760 mmHg
闪点: 203.5°C
蒸汽压: 2.5E-05mmHg at 25°C


化工字典 最新标准下载 英文MSDS报告 热门MSDS报告