欢迎来到MSDS查询网--MSDS安全网
当前位置:MSDS安全网 -> 化工字典CAS -> 依地酸钙钠化工字典CAS数据库
化学品CAS查询网站--MSDS安全网
依地酸钙钠 CAS数据库
依地酸钙钠 CAS数据库
中文名称: 依地酸钙钠
中文别名: 乙二胺四乙酸二钠钙; 乙二胺四乙酸钙二钠; EDTA 钙钠盐; 乙二胺四乙酸二钠钙盐
英文名称: Calcium disodium EDTA
英文别名: Calcium disodium ethylenediamine tetraacetic acid; Disodium calcium edta; Edetate calcium disodium (anhydrous); (Ethylenedinitrilo)tetraacetic acid calcium disodium salt; Acetic acid, (ethylenedinitrilo)tetra-, calcium disodium salt; Adsorbonac; Antalin; CCRIS 3657; Calciate(2-), ((N,N'-1,2-ethanediylbis(N- (carboxymethyl)glycinato))(4-)-N,N',O,O',O(N),O(N'))-, disodium, (OC-6-21)-; Calciate(2-), ((N,N'-1,2-ethanediylbis(N- (carboxymethyl)glycinato))(4-)-N,N',O,O',ON,ON'), disodium, (OC-6-21)-; Calciate(2-), ((ethylenedinitrilo)tetraacetato)-, disodium; Calciedetate de sodium; Calcioedetato sodico; Calcitetracemate disodium; Calcium EDTA; Calcium disodium (ethylenedinitrilo)tetraacetate; Calcium disodium edathamil; Calcium disodium edetate; Calcium disodium ethylendiaminetetraacetate; Calcium disodium ethylenediaminetetraacetate; Calcium disodium versenate; Calcium edetate de sodium; Calcium sodium EDTA; Calcium titriplex; Calcium-EDTA; Chelaton; Dinatrium calcium edeticum; Disodium ((ethylenedinitrilo)tetraacetato)calciate; Disodium calcium ethylenediaminetetraacetate; Disodium monocalcium EDTA; EDTA calcium disodium salt; EDTA disodium calcium salt; Edathamil calcium disodium; Edetamin; Edetamine; Edetate calcium; Edetate calcium disodium; Edetato sodico calcico; Edetic acid calcium disodium salt; Edta,calcium; Edta,calcium disodium; Edta-calcium sodium; Edtacal; Ethylenediaminetetraacetic acid calcium disodium salt; Ethylenediaminetetraacetic acid calcium disodium salt (1:1:2); Ethylenediaminetetraacetic acid, calcium disodium chelate; Ethylenediaminetetracetic acid calcium sodium salt (1:1:2); Glycine, N,N'-1,2-ethanediylbis(N-(carboxymethyl)-, calcium sodium salt (1:1:2); HSDB 4072; Ledclair; Monocalcium disodium EDTA; Mosatil; NSC 310151; Natrii calcii edetas; Rikelate calcium; Sodium (calciedetate de); Sodium calcium edetate; Sodium calciumedetate; Sormetal; Tetacin; Tetacin-calcium; Tetazine; UNII-8U5D034955; Versene; Versene CA; Calciate(2-), ((N,N'-1,2-ethanediylbis(N-((carboxy-kappaO)methyl)glycinato-kappaN,kappaO))(4-))-, disodium, (OC-6-21)-; Calciate(2-), ((N,N'-1,2-ethanediylbis(N-((carboxy-kappaO)methyl)glycinato-kappaN,kappaO))(4-))-, sodium (1:2), (OC-6-21)-; Calciate(2-), ((N,N'-1,2-ethanediylbis(N- (carboxymethyl)glycinato))(4-)-N,N',O,O',ON,ON')-, disodium, (OC-6-21)- (9CI); Ethylene diamine tetraacetic acid, disodium calcium salt; Ethylenediaminetetraacetic Acid Disodium Calcium Salt; Ethylensdiaminetetraacetic acid disodium calcium salt; Ethylendiaminetetraacetic acid disodium calcium salt; 2,2',2'',2'''-(ethane-1,2-diyldinitrilo)tetraacetic acid; calcium sodium 2,2',2'',2'''-(ethane-1,2-diyldinitrilo)tetraacetate (1:2:1); 2-[(4-ethyl-5-thiophen-2-yl-4H-1,2,4-triazol-3-yl)sulfanyl]-1-[1-(4-fluorophenyl)-2,5-dimethyl-1H-pyrrol-3-yl]ethanone
CAS号: 62-33-9;3355-89-9;68162-45-8;69843-95-4;74011-06-6;7732-93-6;100333-49-1;108703-54-4;12002-29-8;12558-50-8;1282-71-9;1288-07-9;19067-42-6;35-00-7;39208-14-5;50322-17-3;5297-15-4;5639-01-0;56532-88-8;57131-51-8;61864-74-2;63042-69-3
EINECS号: 200-529-9
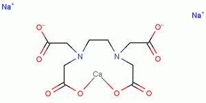
分子式: C10H12CaN2Na2O8
分子量: 374.2684
InChI: InChI=1/C10H16N2O8.Ca.2Na/c11-9(1-5(13)14,2-6(15)16)10(12,3-7(17)18)4-8(19)20;;;/h1-4,11-12H2,(H,13,14)(H,15,16)(H,17,18)(H,19,20);;;/q;+2;2*+1/p-4
分子结构: 依地酸钙钠 62-33-9;3355-89-9;68162-45-8;69843-95-4;74011-06-6;7732-93-6;100333-49-1;108703-54-4;12002-29-8;12558-50-8;1282-71-9;1288-07-9;19067-42-6;35-00-7;39208-14-5;50322-17-3;5297-15-4;5639-01-0;56532-88-8;57131-51-8;61864-74-2;63042-69-3

产品用途:
用作络合剂、临床上用于铅、汞和放射性元素分裂产物的中毒治疗

危险品标志:  Xi:Irritant;
风险术语: R36/37/38:;
安全术语: S26:;
S36:;
化工字典 最新标准下载 英文MSDS报告 热门MSDS报告